关注我们

微信号:esnaicom

中国会计视野
[]金币中心|设首页|收藏|Eng|XBRL中国|可做?|帮助|         手机版
首页 图片新闻 国内行业资讯 行业评论 税务资讯 会计信息化 海外财会动态 财经要闻 企业动态 往日头条 专题列表 
您的位置:首页资讯国内行业资讯正文
 

中税协公布2023年度税务师行业信息

来源:中国会计视野   发布时间:2024-11-28  作者:视野   编辑:cljmy

打印   RSS 字号:|| 
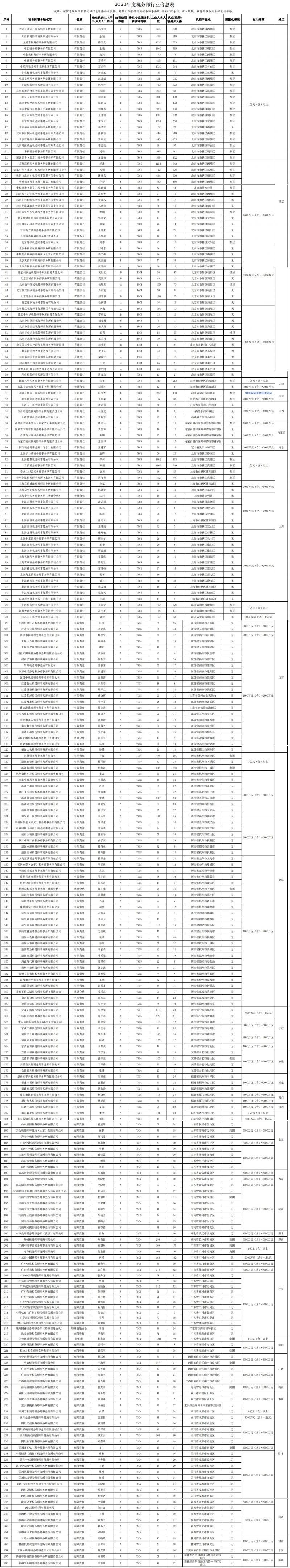
核心提示:中税协发布 2023年度税务师行业信息。全国收入1000万元以上的共有256家,其中1亿元(含)以上的有42家,5000万元(含)-1亿元7家,3000万元(含)-5000万元38家,2000万元(含)-3000万元31家,1000万元(含)-2000万元138家。

中国会计视野讯 近日, 中国注册税务师协会在官方网站发布2023年度税务师行业信息,全国收入1000万元以上的共有256家,其中1亿元(含)以上的有42家,5000万元(含)-1亿元7家,3000万元(含)-5000万元38家,2000万元(含)-3000万元31家,1000万元(含)-2000万元138家。

各省市情况如下表:

省市

详细情况如下表:

税务

更多关于 税务师行业 业务收入 的新闻 关于 税务师行业 业务收入 的论坛帖子
返回视野资讯首页 >
 
 用户登录
视野周刊订阅 回顾>
 上海国家会计学院最新课程